거누의 개발노트
파이썬 알고리즘 인터뷰 - 이진 트리 반전 본문
반응형
문제
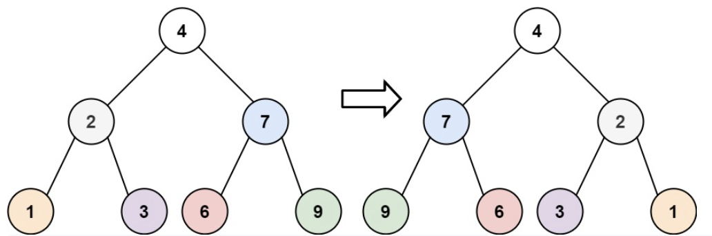
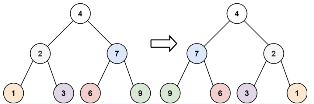
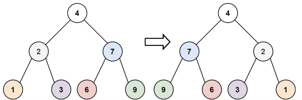
이진 트리가 주어지면 root트리를 반전 하고 루트 를 반환합니다.
입력

root = [4,2,7,1,3,6,9]
출력
[4,7,2,9,6,3,1]
작성한 코드
# Definition for a binary tree node.
class TreeNode:
def __init__(self, val=0, left=None, right=None):
self.val = val
self.left = left
self.right = right
def list_to_tree(lst, idx):
parent = None
if idx < len(lst):
value = lst[idx]
if value is not None:
parent = TreeNode(value)
parent.left = list_to_tree(lst, idx*2+1)
parent.right = list_to_tree(lst, idx*2+2)
return parent
def tree_len(root):
cnt = 0
stack = [root]
while stack:
node = stack.pop()
if node is not None:
cnt += 1
stack.append(node.left)
stack.append(node.right)
return cnt
def tree_to_list(root, lst, idx=0):
node = root
if node:
lst[idx] = node.val
if node.left:
tree_to_list(node.left, lst, idx * 2 + 1)
if node.right:
tree_to_list(node.right, lst, idx * 2 + 2)
return lst
def invertTree(root: [TreeNode]) -> [TreeNode]:
stack = [root]
while stack:
node = stack.pop()
if node:
node.left, node.right = node.right, node.left
stack.append(node.left)
stack.append(node.right)
return root
r = list_to_tree([4,2,7,1,3,6,9], 0)
lst = tree_to_list(r,[0]*tree_len(r))
print(lst)
invertR = invertTree(r)
print(tree_to_list(invertR,[0]*tree_len(invertR)))
이 문제를 내 코드에서 확인 해보려면 배열을 트리로 바꿔주고, 그 결과가 TreeNode로 반환되는데, 그걸 또 배열로 바꿔주어야 확인 할 수 있어서 직접 list_to_tree, tree_to_list를 구현해서 확인 해봤다.
직접 구현해서 사용해 보니까 훨씬 이해가 쉬워지고 자신감이 생겼다. ^0^
https://leetcode.com/problems/invert-binary-tree/
Invert Binary Tree - LeetCode
Level up your coding skills and quickly land a job. This is the best place to expand your knowledge and get prepared for your next interview.
leetcode.com
반응형
'코딩테스트' 카테고리의 다른 글
| [파이썬] 700. Search in a Binary Search Tree - 리트코드 (0) | 2022.05.24 |
|---|---|
| [파이썬] 938. Range Sum of BST - 리트코드 (0) | 2022.05.24 |
| 파이썬 알고리즘 인터뷰 - 가장 긴 동일 값의 경로 (0) | 2022.05.23 |
| 파이썬 알고리즘 인터뷰 - 이진 트리의 직경 (0) | 2022.05.23 |
| [파이썬] 프로그래머스 - 예상 대진표 (0) | 2022.05.23 |
Comments